首页
集团概况
新闻动态
二级企业概况
信息公开
党建之窗
三明实践
联系我们
信息公开
Information disclosure
通 知
招投标
采购询价
人才招聘
通知
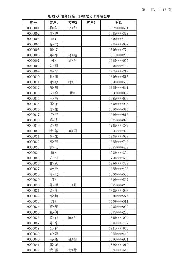
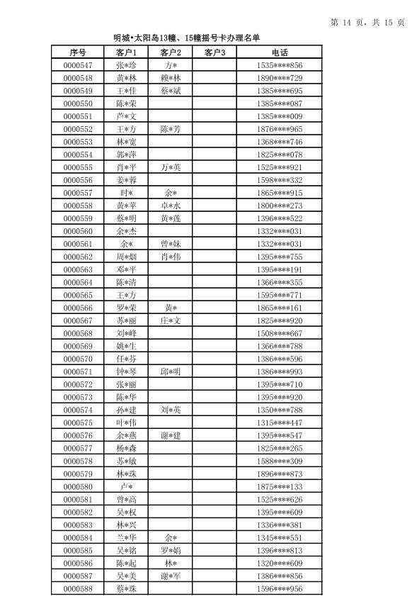
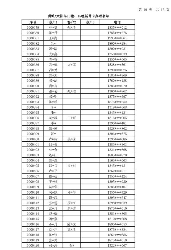
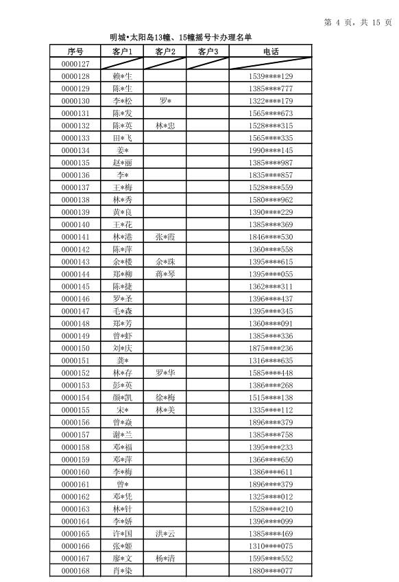
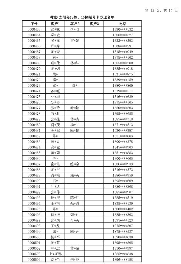
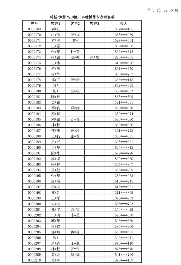
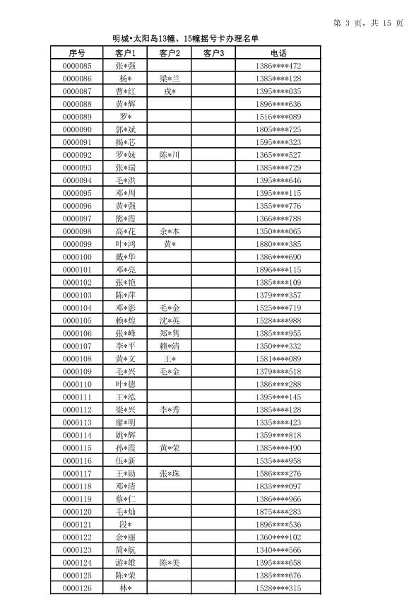
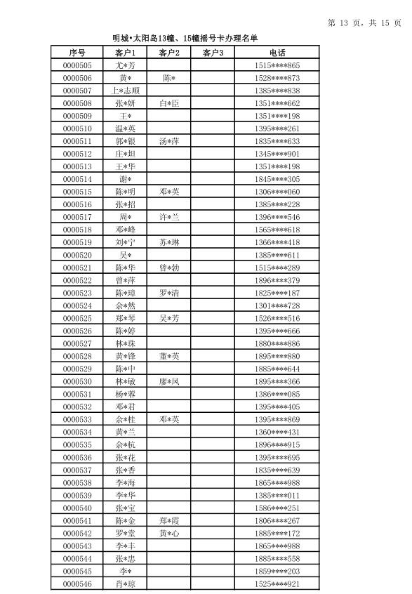
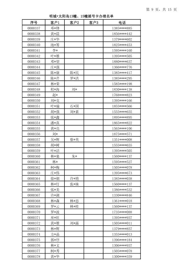
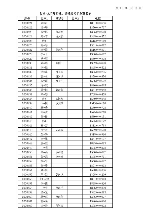
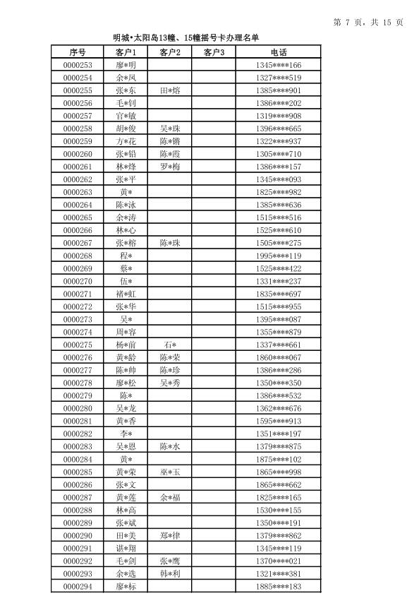
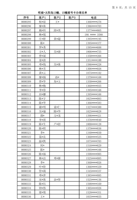
明城·太阳岛13幢15幢开盘“摇号卡办理名单”公示
发布时间:2020-01-13 11:02:00 阅读:9784
上一篇:
明城太阳岛开盘方案
下一篇:
明城·太阳岛13幢15幢开盘摇号卡中签名单公示
广发体育官网首页
|
泛亚网页版
|
九游登陆入口
|
乐鱼登陆
|
云开体育
|
星空官方在线登录
|
球友会网页版登录入口
|
广发在线注册
|
乐动官网app(中国)官方网站
|